Overview
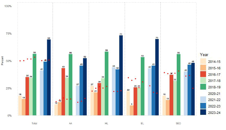
Students Meeting or Exceeding State Mathematics Standards on SBAC: John Muir Elementary School, SFUSD; Lesson Study Started 2015-16, Continues Today
Source: California Department of Education, 2024. Data not available for 2019-20 or 2020-21, due to pandemic suspension of testing. Red dots show district average for elementary students. AA=African American; HL=Hispanic/Latino; EL=English Learner; SED=Students in Economic Disadvantage.
*Information from the California Department of Education http://dq.cde.ca.gov/dataquest
Muir School serves 225 students; school demographics are shown below.
What has allowed John Muir Elementary to close the achievement gap? Some distinguishing features of the school’s work include
- Educators use lesson study to build, enact and refine a common vision of good practice
- Teaching approaches emphasize student agency–for example, mathematics is taught through problem-solving
- Teacher leaders deepen expertise through SFUSD’s teacher fellow network

